设为首页 | 收藏本站 2026 年 4 月 21 日 打造汽车零部件领先的人力资源平台

 
    您当前的位置:汽车配件人才网 >>职业指导>> 薪酬福利 >>评价绩效管理有效性的八个维度
评价绩效管理有效性的八个维度
汽车配件人才网    发布时间: 2017-06-19 17:41:29    浏览次数:1529   文章来源:   

 

如何知道你的企业所实施的绩效管理体系是否有效,该从哪些方面对绩效管理做出评价?笔者结合工作的实际和对理论的思考,从八个纬度对这个问题做了一些思考,提出评价绩效管理体系有效性的模型。这八个纬度是:一、战略目标;二、角色分工;三、管理流程;四、工具表格;五、绩效沟通;六、绩效反馈;七、结果运用;八、诊断提高。

目前,很多企业都认识到了绩效管理的重要性,并建立了绩效管理体系。由于企业的规模大小、发展水平、行业性质、企业管理人的素质能力水平的不同,各个企业的绩效管理体系存在很大差异,有的以绩效考核为主,主要强调对员工的考核评价,主要解决工资发放的问题,有的以绩效改进为主,希望通过绩效管理体系来改进经理、员工和组织的绩效,有的则把二者有效地结合起来,既改善绩效,又评价绩效,并将评价的结果运用到诸如调整工资、加薪、晋升、降职等人事决策当中。可以说,有多少家企业就有多少种绩效管理体系。

那么,在众多的绩效管理体系中,哪一家是最好的呢?有没有可供遵循的评价标准呢?这里,笔者试着对这个问题做出回答,希望能通过建立一个对绩效管理体系进行评价的模型,帮助企业建立更加有效的绩效管理体系。

笔者认为,如果想对一个企业的绩效管理体系做出有效性的评价,必须从以下八个纬度进行:1.战略目标;2.角色分工;3.管理流程;4.工具表格;5.绩效沟通;6.绩效反馈;7.结果运用;8.诊断提高。

评价纬度一:战略目标

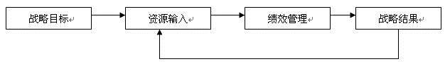
如果没有战略作为基础,绩效管理就没有了依托,就无法发挥它的综合效用。企业实施绩效管理的目的是什么?是战略,是帮助企业分解并落实企业的战略目标,这是绩效管理最终要致力达成的目标。下面这个图可以说明这个问题:

图1绩效管理在战略实施中的作用

战略目标是绩效管理实践的出发点和落脚点,首先制定战略目标,并把战略目标分解到年度,形成年度经营计划,然后再通过绩效管理的目标分解工具(SMART原则),分解落实到部门,形成部门绩效目标,进而落实到具体办事的员工,形成员工的关键绩效指标(KPI)。所以,考察一个企业的绩效管理体系是否有效的第一个标准是看该企业的战略目标是否清晰明确,是否已经被企业管理层所熟知,是否已经得到分解。

评价纬度二:角色分工

通常,那些没有做好绩效管理的企业都没有把员工在绩效管理中的角色分工做好,因此导致了执行变形,流于形式。所以,我们把角色分工作为第二个评价的纬度。

经验表明,通常,上至企业老总,下至普通员工,他们通常不太清楚自己在绩效管理中的职责,不知道自己该做些什么,该怎么做。因此,很多管理者和员工在绩效管理中,往往表现得比较被动,经常需要人力资源部门催促,甚至经常需要企业老总出面协调。

做任何一项工作,首先都要一个科学合理的分工,然后根据分工制定细化的工作细则,只有这样,工作才可能被理解得好,做得好。那么,在绩效管理中,什么样的分工才是有效的呢?通常,我们可以把一个企业绩效管理中管理者和员工的角色分成四个层次,分别是企业一把手、HR经理、直线经理和员工。

1.企业一把手:角色分工是绩效管理的支持者和推动者。细化的工作细则有:⑴在绩效管理实施动员会上发表讲话,给绩效管理的实施制造声势;⑵主持制定符合企业实际的绩效管理方案;⑶主持企业管理者绩效管理培训会;⑷主持企业管理者对企业的绩效管理方案的研讨会,澄清认识,消除误解;⑸主持绩效管理协调会,使绩效管理不断向深入开展;⑹对副总一级管理者进行绩效沟通和考核;⑺主持修订新的绩效管理制度,使绩效管理体系不断得到改进。

2.HR经理:角色分工是绩效管理的组织者和咨询专家。细化的工作细则有:⑴研究绩效管理理论,并向企业管理层进行推销,在企业内部进行宣传,使绩效管理的理论、方法和技巧被广大员工认识、理解和接受;⑵组织管理者参加有关绩效管理的培训和研讨,使管理者的绩效管理技能得到提高;⑶组织制定符合企业现状的绩效管理制度和工具表格;⑷组织直线经理为员工制定绩效目标;⑸督促直线经理与员工进行绩效沟通;⑹督促直线经理建立员工业绩档案;⑺组织直线经理进行绩效考核和反馈;⑻组织直线经理帮助员工制定绩效改进计划;⑼组织直线经理进行绩效管理满意度调查;⑽对绩效管理体系进行诊断并向企业老总汇报;⑾对绩效管理制度进行修订。

3.直线经理:角色分工是绩效管理执行者和反馈者,执行企业的绩效管理制度,并将执行过程中遇到的问题反馈给人力资源部。细化的工作细则有:⑴认真阅读理解企业的绩效管理制度;⑵为员工修订职位说明书,使之符合当前实际;⑶与员工进行绩效沟通,制定员工的关键绩效指标;⑷与员工保持持续不断的绩效沟通,对员工进行绩效辅导;⑸记录员工的绩效,并建立员工业绩档案;⑹考核员工的业绩表现;⑺将绩效考核结果反馈给员工;⑻对员工进行绩效满意度调查;⑼帮助员工制定绩效改进计划;⑽将执行过程中遇到的问题反馈给人力资源部门。

4.员工:角色分工是绩效管理的主人(Owner),拥有并产生绩效。细化的工作细则有:⑴认真学习企业的绩效管理制度;⑵与经理一起制定关键绩效指标;⑶与经理保持持续的绩效沟通,向经理寻求资源支持和帮助;⑷记录自己的绩效表现,并向经理进行反馈;⑸在经理的帮助下,分析自己在绩效周期的表现,并制定绩效改进计划。

评价纬度三:管理流程

很多企业的绩效管理体系往往只注重绩效考核这一个环节,没有上升到流程的高度来看待绩效,所以经常只是做一些表面的工作,给人留下形式主义的印象。我们如果要判断一个绩效管理体系是否有效,就一定要从它的流程的完善程度入手,只有具备了完善的绩效管理流程,绩效管理体系才可能会有效,否则,有效性无从谈起。那么,一个有效的绩效管理体系应具备哪些流程呢?我们可以用PDCA循环来说明这个问题。PDCA循环是由美国质量管理专家戴明提出来的,所以又称为“戴明环”。PDCA的含义是:P(Plan)——计划,D(Do)——实施,C(Check)——检查, A(Action)——行动,对总结检查的结果进行处理,成功的经验加以肯定并适当推广、标准化,失败的教训加以总结,未解决的问题放到下一个PDCA循环里。以上四个过程不是运行一次就结束,而是周而复始地进行,一个循环完了,解决一些问题,未解决的问题进入下一个循环,实现阶梯式螺旋上升。PCDA循环实际上是有效进行任何一项工作的合乎逻辑的工作程序,对绩效管理尤其适用。下面是绩效管理的PDCA循环图。

图2 绩效管理PDCA循环图

从上图可以看出,一个有效的绩效管理体系应具备以下四个大的流程:

1.制定绩效计划(P),确定关键绩效指标(KPI);

2.绩效沟通与辅导(D),保证绩效管理过程的有效性;

3.绩效考核与反馈(C),对前一绩效周期的成果进行检验;

4.绩效诊断与提高(A),总结提高并进入下一循环。

评价纬度四:工具表格

流程制定好了,并不能保证它能被执行得好,要想被执行得好,人力资源部门还要为直线经理设计简单实用的工具表格,作为绩效管理过程的控制工具加以使用。通常,一个完善的员工绩效管理体系中应至少包括以下几个表格:

1.《员工关键绩效指标管理卡》,用来帮助经理为员工确立员工绩效指标。注意,是管理卡,而不是考核卡,不是到最后才拿出来,而是在绩效沟通与辅导的沟通中需要经常使用的,员工要经常看,以便于明白自己的工作目标,经理也要经常看,以便于准确地知道员工的绩效是否在预定的轨道上运行。所以,是否经常使用,也要成为评价绩效管理体系是否有效的重要特征加以重视。

2.《员工业绩档案记录卡》,用来帮助直线经理记录员工的业绩表现并建立业绩档案。建立员工业绩档案,主要是为了保证经理对员工所做出的绩效评价是基于事实而不是想象,保证经理和员工进行绩效反馈的时候“没有意外”(No surprise),这对于保证绩效评价公平与公正是相当重要的。

3.《员工绩效反馈卡》,用来帮助直线经理对员工进行绩效反馈。直线经理对员工绩效反馈的时候不是泛泛而谈,而应基于员工的关键绩效指标来谈,因此,直线经理要凭借绩效反馈卡来记录沟通的过程,形成绩效反馈记录,为下一步帮助员工制定绩效改进计划打下基础。

4.《员工绩效改进计划》,用来帮助直线经理为员工制定绩效改进计划。绩效面谈结束的时候,直线经理应针对员工在前一绩效周期内表现出来的不足,提出建设性的建议,并与员工一起制定绩效改进计划,放在下一绩效周期内加以改进。

5.《员工绩效申诉表》,用来帮助员工对自己在考核评价中所遭遇的不公正待遇进行申诉,以保证绩效管理制度的严肃性。

6.《绩效管理满意度调查表》,用来帮助企业对所实施的绩效管理制度以及直线经理在执行绩效制度时的表现进行调查,使企业与直线经理也能不断做出合适的调整,使绩效管理制度得到改进和提高。

评价纬度五:绩效沟通

实际上,绩效管理的过程就是一个经理和员工就绩效问题进行充分沟通并达成一致理解的过程。在这个过程中,经理要与员工一起确立目标,一起清除障碍,一起完成并超越目标,而要做到这一切,绩效沟通必须做好。

所以,我们来对一个企业的绩效管理体系进行评价的时候,不能仅仅看它的硬件是否具备,更要看软件,比如绩效沟通的环境是否良好,绩效沟通的渠道是否顺畅,绩效沟通的习惯是否已经建立,等等。

评价纬度六:绩效反馈

这里的绩效反馈主要是绩效评价结束后对评价结果的反馈,通常很多企业这项工作开展得不好,要么不反馈,要么只是简单地签字交差,没有中间的过程。这既是对企业绩效管理的制度的忽视,也是对员工的不负责。一个阶段的绩效评价结束后,直线经理一定要将评价结果通过面谈的方式告诉员工,与员工就评价结果达成一致理解,并真诚地指出员工存在的不足,提出建设性的改进意见,如果企业没有做这项工作,我们就不能认为这个企业的绩效管理体系是有效的!

评价纬度七:结果运用

通常绩效评价与员工的奖惩是紧密相连的,如果评价结束了,企业没有兑现当初的承诺,没有对表现优秀的员工进行激励,那么优秀员工的积极性将受到打击,同样,如果评价结束后没有对表现不好的员工进行惩罚,那么也将对公司的管理环境造成不好的影响。所以,在绩效评价结束后,企业一定要按照绩效制度的规定,对绩效评价的结果进行运用,使绩效制度朝良性循环方向发展。

评价纬度八:诊断提高

这里的诊断与提高是指企业对整个绩效管理体系的诊断,一般每隔一年的时间,企业都要对绩效管理体系进行系统的诊断,从中发现存在的问题和不足,然后加以改进,使之不断得到改善和提高,呈螺旋式上升的态势!

以上笔者结合理论学习与工作的实践,从八个纬度进行了阐述,提出了绩效管理体系有效性评价的模型,希望起到抛砖引玉的作用!

【核心提示】

(1)绩效管理是企业实现战略目标的助推器,设计绩效管理体系必须从企业的战略目标开始。

(2)职责分工一直是很多企业在实施绩效管理的时候没有解决好的问题,而一个好的绩效管理体系必须有一个完善职责体系做保障。

(3)绩效管理的流程一定要完善,否则很有可能会在推行的过程演变为形式主义。

(4)绩效考核结果一定要得到应用,否则毫无价值。

(5)绩效反馈一定要,否则改善员工的绩效就是一句口号,没有任何实际意义。

(6)没有绝对完美的绩效管理体系,只有不断完善的绩效管理体系,所以一定要对绩效管理体系进行诊断,并使之不断得到提高!


文章经授权发布,作者简介:赵日磊,资深咨询顾问,实战绩效专家,教练式共同工作法推广人。研究绩效管理超过15年,著有赵氏绩效三部曲:《绩效魔方,一个HR眼中的绩效管理》,《轻松做绩效,让员工和组织一起成长》,《手把手教你做绩效:模型、方法、案例和实践》。

    标签:
分享到:
 
    下一篇:历数问题规章制度六大败诉点
    相关文章

评论列表

用户名 密码 点击刷新验证码
       匿名发表     (内容限5至500字)    当前已经输入 0
所有评论仅代表网友意见,汽车配件网保持中立。

  荣誉资质 总经理致辞 发展历程 友情链接 关于我们 联系我们 聚汽声明 汇款方式 加入我们 友情链接 服务细则 合作伙伴 猎头服务网站地图

汽车配件人才网倾心打造多元化产品服务体系:网络招聘、猎头、专场招聘会等服务,结合优质的服务,不断探索,勇于创新,立足于强大的聚汽网络平台,依靠专业社区媒体《汽车配件社区网》和汽配行业高端杂志《聚汽观察》等多渠道的互动资源整合,为汽车配件企业和求职者构建一个领先的人力资源交流平台。
客服电话:0571-81020910 传真0571-81020910 邮箱:info@b2bautoparts.cn 24小时热线:15658103160/13818216694
地址:杭州余杭未来科技城高教路970号西溪联合科技广场6号楼608
Copyright@2010-2023 浙ICP备11022915号-2 杭州聚汽网络技术有限公司 版权所有

浙公网安备 33011002012885号

  

点击这里给我发消息 点击这里给我发消息 点击这里给我发消息